| 일 | 월 | 화 | 수 | 목 | 금 | 토 |
|---|---|---|---|---|---|---|
| 1 | ||||||
| 2 | 3 | 4 | 5 | 6 | 7 | 8 |
| 9 | 10 | 11 | 12 | 13 | 14 | 15 |
| 16 | 17 | 18 | 19 | 20 | 21 | 22 |
| 23 | 24 | 25 | 26 | 27 | 28 | 29 |
| 30 |
- AABB
- dp
- 다이나믹 프로그래밍
- linux
- 수학
- Unity
- Doubly Connected Edge List
- 내적
- uclidean algorithm
- 벡터
- 보로노이다이어그램
- ubuntu
- Graham Scan
- 문제풀이
- 외적
- Vector
- SOH
- 유니티
- PS
- 충돌 알고리즘
- 우분투
- 알고리즘
- C
- Expanding Polytope Algorithm
- 분할축 이론
- C++
- 리눅스
- GJK
- 백준
- c#
- Today
- Total
마이 플밍 블로그
행렬 기초 본문
정방 행렬(square matrix)

행과 열의 개수가 같은 행렬
영 행렬(zero matrix)

모든 요소가 0인 행렬


전치 행렬(transpose matrix)
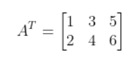
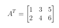
행렬의 각 요소의 행과 열을 뒤바꾼 것

A가 mXn 행렬이라면 A^T는 nXm 행렬이 되고 각 요소들은 이렇게 게산됨
만약 A가 자신의 전치행렬과 같다면 A를 대칭 행렬(symmetric matrix)이라고 함.
대칭 행렬은 항상 정방 행렬이고 행 번호와 열 번호가 같은 주대각선상을 기준으로 성분들이 대칭으로 나타남

이것이 대칭행렬이다. 주대각선상에 있는 성분들을 주대각성분(main diagonal)이라고 하고 이 행렬의 주대각성분은
(1,8,5)이다.
행렬의 곱


A의 열과 B의 행을 곱해주면 된다.행(row) 열(column)
행렬의 곱셈 주의 사항
- 두개의 행렬을 곱하려면 두 행렬 모두 A의 열의 개수와 B의 행의 개수가 같아야한다.
- AXB와 BXA는 다르다 (교환 법칙이 성립되지 않는다)

전방 행렬들 사이의 곱셈의 경우 곱셈의 항등원, 즉 항등 행렬(identity matrix)도 존재한다.
항등 행렬(identity matrix)

항등 행렬 I는 주대각 성분들은 모두 1이고 나머지 성분들은 모두 0인 정방행렬을 뜻한다.
이것은 모든 3X3 행렬에 대한 항등 행렬이다.
역행렬(inverse matrix)

두 정방 행렬이 서로 곱하는 순서와 상관없이 항등 행렬을 산출한다면 두 정방 행렬은 서로에 대해 역행렬 이라고한다.
모든 행렬이 역행렬을 가지지는 않는다. 이런 행렬을 특이 행랼(singular matrix)라고 하고, 역행렬을 가지는 행렬을
가역 행렬(invertible matrix)또는 정칙 행렬(non-singular matrix, 혹은 반특이 행렬) 이라고 한다.
항등 행렬과 같이 역행렬은 오직 정방 행렬들 사이에서만 존재할 수 있다.

두 행렬의 곱셈에 역행렬을 취하면 각각의 역행렬을 순서를 바꿔서 곱한 것과 같다.