Notice
Recent Posts
Recent Comments
Link
| 일 | 월 | 화 | 수 | 목 | 금 | 토 |
|---|---|---|---|---|---|---|
| 1 | 2 | 3 | 4 | 5 | 6 | |
| 7 | 8 | 9 | 10 | 11 | 12 | 13 |
| 14 | 15 | 16 | 17 | 18 | 19 | 20 |
| 21 | 22 | 23 | 24 | 25 | 26 | 27 |
| 28 | 29 | 30 | 31 |
Tags
- 백준
- SOH
- C++
- Graham Scan
- Unity
- Doubly Connected Edge List
- Expanding Polytope Algorithm
- 보로노이다이어그램
- 분할축 이론
- dp
- C
- 유니티
- 우분투
- 다이나믹 프로그래밍
- 수학
- PS
- Vector
- AABB
- uclidean algorithm
- GJK
- 내적
- 문제풀이
- c#
- ubuntu
- 충돌 알고리즘
- 벡터
- 외적
- linux
- 알고리즘
- 리눅스
Archives
- Today
- Total
마이 플밍 블로그
외적을 이용한 CW(Clock Wise)와 CCW(Counter Clock Wise) 본문
CCW란?
CCW(Counter Clock Wise)는 시계반대 방향이라는 뜻으로
점 A B C가 있다고 했을 때 벡터 AB를 기준했을 때 C가 오른쪽에 있는지 왼쪽에 있는지를
알아내는 방법을 뜻한다.
CCW를 구하는 방법은 외적을 통해서 구할 수 있다.

두벡터를 외적하면 새로운 벡터가 생기는데 그 벡터는 두 벡터의 수직인 벡터로 외적을 통해 생성된
벡터의 크기는 두 벡터를 변으로 하는 평행사변형의 크기가 된다.

외적의 값은 오른손 좌표계, 왼손 좌표계를 하느냐에 따라 값이 틀리게 나오는데
오른손 좌표계를 기준으로 값을 구하겠다.

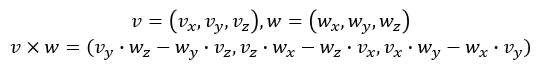
위는 외적의 공식으로 2차원 평면에서 외적을하면 새로 생긴 벡터의 x와 y 값은 0이된다.
z는 해당 벡터의 크기가 되고 그 값의 부호에 따라서 CCW를 판별할 수 있다.
선분 AB가 점 C로 부터의 CCW를 구할려고 할경우
AB와 AC의 외적으로 나온 값이
- z > 0 일시 C는 AB로부터 시계 방향
- z = 0 일시 C는 AB로부터 평행
- z < 0 일시 C는 AB로부터 반시계 방향
이 된다.