수학&물리/물리
운동량 보존 법칙과 1차원 충돌
레옹
2022. 2. 2. 22:24
개인적으로 공부한 것을 정리한 글입니다.
틀린내용이 있을 수도 있으니 주의해주세요.

운동량(momentum) - 뉴턴 역학에서 질량과 속도의 곱을 뜻함
운동량을 p 질량을 m 속도를 v라고 하면 위와같이 정의할 수 있다.

충격량(impulse) - 두 물체가 충돌했을 때 운동량의 변화량
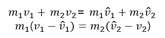
운동량 보존 법칙
물체에 외부의 힘이 작용하지 않는다면 그 물체가 가진 총 운동량은 바뀌지 않는다.
서로 다른 두 물체가 충돌하더라도 총 운동량은 변하지 않는다.
m이 질량 v가 속도 v^를 충돌 후 속도라고 하면 다음식이 된다.

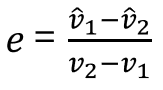
반발계수

반발 계수는 두 물체가 충돌 전후의 속도 비율을 나타내는 분수로 0과 1사이값이다.
e = 1 일시 탄성충돌(에너지 보존)
0 < e < 1 일시 비탄성충돌
e = 0 일시 완전비탄성충돌 이라고 한다.
1차원 충돌

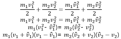
운동량 보존 법칙에 의해서 충돌 전후의 총 운동량은 같다고 했다.

에너지 보존 법칙에 의해 충돌전 운동에너지 합과 충돌후 운동에너지 합은 같다.

운동량 보존 식과 운동에너지 보존식을 나누면 위 식이 나온다.

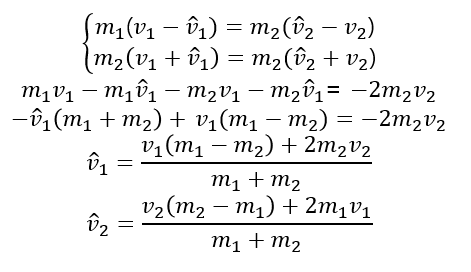
이 식을 운동량 보존과 v1^에 대해서 연립해서 풀수있다.